客服:
财务:
服务时间 :09:00-19:001、有功功率
即在交流电中,有功功率是指一个周期内发出或负载消耗的瞬时功率的积分的平均值(或者是负载电阻所消耗的功率),因此,也称为平均功率。
2、无功功率:
即电网中的感性负载(如电机,扼流圈,变压器,感应式加热器及电焊机等)都会产生不同程度的电滞,即所谓的电感。许多用电设备均是根据电磁感应原理工作的,如配电变压器、电动机等,它们都是依靠建立交变磁场才能进行能量的转换和传递。为建立交变磁场和感应磁通而需要的电功率称为无功功率。
无功功率过高
1)无功功率会导致电流增大和视在功率增加,导致系统容量下降;
2)无功功率增加,会使总电流增加,从而使设备和线路的损耗增加;
3)使线路的压降增大,冲击性无功负载还会使电压剧烈波动。
因此,所谓的“无功”并不是“无用”的电功率,只不过它的功率并不转化为机械能、内能而已;因此在供用电系统中除了需要有功电源外,还需要无功电源,两者缺一不可

交流电通过线圈时,线圈就会产生自感电动势,而自感电动势又会阻碍交流电的通过。如果线圈的电阻很小则可以忽略不计。把这种线圈作为负载连接在交流电源上所组成的电路叫做纯电感电路,如下图所示。

瞬时功率:

纯电感电路的瞬时功率等于电压uL和电流iL瞬时值乘积。
做出瞬时功率曲线图,如右图所示。
有功功率:
由上右图瞬时功率波形图可见,瞬时功率在第一个和第三个1/4周期内为正值,它表示电感线圈从电源中获得电能,转换为磁能贮藏于先圈内;在第二个和第四个1/4周期内为负值,表示电感将贮藏的磁场能转换为电能,随电流送回电源。由曲线图还可以看出,在一个周期内,正方向和负方向曲线所包围的面积相等。它表示瞬时功率在一个周期内的平均值等于零,也就是说,在纯电感电路中,不消耗电能,而只与电源进行能量的交换。所以在一个周期内的有功功率为零。
无功功率:
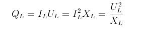
纯电感电路中瞬时功率的最大值叫做无功功率,它表示线圈与电源之间能量交换规模的大小,用字母QL表示。
上述公式中:
QL:即电路的无功功率,单位为乏(Var)或Kvar;
UL:即线圈两端电压的有效值(单位,伏特、V)
IL:即流过线圈电流的有效值(单位,安、A)
XL:即线圈的感抗(单位欧姆、Ω )
